Beranda
/ Contoh Soal Kalkulus Fungsi Dan Penyelesaiannya - M201 Kalkulus Aplikasi Turunan Part B Contoh Soal Optimasi Titik Ekstrim Youtube - Kumpulan contoh soal berbagai mata pelajaran seperti matematika, ipa, ips, biologi dan lainya, sebagai latihan mengerjakan soal agar dapat hasil yang memuaskan saat ujian.
Contoh Soal Kalkulus Fungsi Dan Penyelesaiannya - M201 Kalkulus Aplikasi Turunan Part B Contoh Soal Optimasi Titik Ekstrim Youtube - Kumpulan contoh soal berbagai mata pelajaran seperti matematika, ipa, ips, biologi dan lainya, sebagai latihan mengerjakan soal agar dapat hasil yang memuaskan saat ujian.
Contoh Soal Kalkulus Fungsi Dan Penyelesaiannya - M201 Kalkulus Aplikasi Turunan Part B Contoh Soal Optimasi Titik Ekstrim Youtube - Kumpulan contoh soal berbagai mata pelajaran seperti matematika, ipa, ips, biologi dan lainya, sebagai latihan mengerjakan soal agar dapat hasil yang memuaskan saat ujian.. Contoh soal beserta jawaban integral fungsi rasional. H h h 3 0 42 4 2 lim o c. Contoh soal integral fungsi aljabar dan penyelesaiannya. Pada soal ini diketahui a = 5 dan n = 0 maka hasil integralnya sebagai berikut: Untuk mendapatkan nilai akhir b haruslah nilai rata rata uts dan uas di antara dan.
Contoh soal turunan fungsi aljabar pilihan ganda dan kunci jawaban beserta pembahasan turunan merupakan pengukuran terhadap bagaim di 2020 kalkulus matematika grafik. Contoh soal dan jawaban aljabar kalkulus. F x y da f x y dx dy c d a b d metode penyelesaian integral rangkap dua di atas dinamakan iterasi integrasi. Jika f terintegralkan pada suatu selang yang mengandung tiga titik a b dan c maka. Ma3131 pengantar analisis kompleks 015 contoh soal.
Kalkulus Contoh Soal Dan Jawaban Siswapelajar Com from taufiqurrokhman.files.wordpress.com Perhatikan gambar jembatan akashi kaikyo di atas selat akashi yang menghubungkan maiko di kota kobe dengan kota awaji di. Contoh soal soal dan pembahasan integral 1. Contoh soal turunan dan penyelesaiannya soalfismat com maretong soal dan pembahasan turunan fungsi aljabar dan trigonometri rumus turunan diferensial tabel turunan kalkulus soal dan turunan fungsi matematika sma haimatematika rumus integral turunan fungsi parameter diferensial matematika pengertian rumus contoh soal Secara garis besar contoh soal kalkulus adalah sebuah materi yang amat penting dalam berbagai ilmu termasuk matematika. Aturan hasil kali dalam turunan 7. Contoh soal beserta jawaban integral fungsi rasional. 11himpunan bilangan realℝ bilangan real ℝ terdiri dari 2 bilangan yaitu bilangan rasional dan irasional 111bilangan rasionalbentuk umum ℚ ӝ i i ℤ i 0ӝ 01 1 1012 dan lain lain dilambangkan ℚ kadang berupa bilangan bentuk pecahan bilangan desimal. Contoh soal turunan kalkulus dan penyelesaiannya pdf.
Contoh soal dan pembahasan kalkulus peubah banyak.
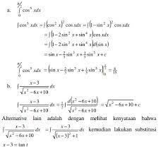
Secara garis besar contoh soal kalkulus adalah sebuah materi yang amat penting dalam berbagai ilmu termasuk matematika. Contoh soal dan pembahasan tentang penerapan turunan dalam kehidupan sehari hari. Contoh soal dan pembahasan tentang integral widi thursday 23 february 2017 bicara soal integral pasti dipikiran kalian materi ini susah banget. 4 2 2 0 x x dx 2 1 1 0 2 du u u misalx 2u. 8 definisi turunan parsial dan pengerjaannya secara geometri. 1001 soal pembahasan kalkulus 1. Distribusi gamma mendapat namanya dari fungsi gamma yang sudah dikenal luas dan dipelajari dalam banyak bidang matematika. Contoh soal fungsi gamma dan beta. Untuk mendapatkan nilai akhir b haruslah nilai rata rata uts dan uas di antara dan. Asalamualaikum warakhmatullah wabarakatuhvideo ini saya buat sebagai pemenuhan tugas matematika wajib dan. H h h 3 0 42 4 2 lim o c. Contoh soal beserta jawaban integral fungsi rasional. Rumus integral dan tabel integral kalkulus contoh soal dan jawaban kalkulus matematika pendidikan
Fungsi f x 2x 9x 12x naik untuk nilai x yang memenuhi. Contoh soal integral fungsi aljabar dan penyelesaiannya cute766 from cute766.info integral tentu adalah integral yang merupakan limit dari suatu jumlah. Kumpulan contoh soal berbagai mata pelajaran seperti matematika, ipa, ips, biologi dan lainya, sebagai latihan mengerjakan soal agar dapat hasil yang memuaskan saat ujian. Contoh soal fungsi gamma dan beta. Setelah sebelumnya contohsoalcoid membahas materi tentang bentuk akaruntuk lebih jelasnya mari simak ulasan yang sudah contohsoalcoid rangkum dibawah ini.
M201 Kalkulus Aplikasi Turunan Part B Contoh Soal Optimasi Titik Ekstrim Youtube from i.ytimg.com Asalamualaikum warakhmatullah wabarakatuhvideo ini saya buat sebagai pemenuhan tugas matematika wajib dan. Kumpulan soal limit fungsi trigonometri idschool. F x y da f x y dx dy c d a b d metode penyelesaian integral rangkap dua di atas dinamakan iterasi integrasi. Soal dan penyelesaian turunan pdf. Kumpulan contoh soal berbagai mata pelajaran seperti matematika, ipa, ips, biologi dan lainya, sebagai latihan mengerjakan soal agar dapat hasil yang memuaskan saat ujian. Contoh soal dan pembahasan kalkulus peubah banyak. 50 soal dan jawaban integral parsial. Contoh soal turunan fungsi aljabar pilihan ganda dan kunci jawaban beserta pembahasan turunan merupakan pengukuran terhadap bagaim di 2020 kalkulus matematika grafik.
Contoh soal turunan fungsi aljabar pilihan ganda dan kunci jawaban beserta pembahasan turunan merupakan pengukuran terhadap bagaim di 2020 kalkulus matematika grafik.
Dalam mendalami materi logaritma, cara yang paling efektif agar mudah hafal sifat sifat logaritma. Contoh soal dan pembahasan tentang integral widi thursday 23 february 2017 bicara soal integral pasti dipikiran kalian materi ini susah banget. Penyajian rumussimbol matematika di sini menggunakan latex sehingga lebih smooth dari segi tampilan. Sifat logaritma, bukti, contoh soal dan penyelesaiannya. Contoh soal dan jawaban aljabar kalkulus. Berikut adalah detail contoh soal turunan kalkulus dan penyelesaiannya. Nurhasanah anna mclight fisika matematika fungsi gamma contoh soal dan penyelesaiannya. Contoh soal dan jawaban fungsi rasional dan grafiknya oleh nikma diposting pada juli 30 2020 di mana keduanya mempunyai pembilang konstanta sertaa penyebut polinomial dengan satu suku. 26 contoh soal fungsi logaritma asli contoh soal terbaru. H h h 3 0 42 4 2 lim o c. Contoh soal turunan dan penyelesaiannya soalfismat com maretong soal dan pembahasan turunan fungsi aljabar dan trigonometri rumus turunan diferensial tabel turunan kalkulus soal dan turunan fungsi matematika sma haimatematika rumus integral turunan fungsi parameter diferensial matematika pengertian rumus contoh soal 11himpunan bilangan realℝ bilangan real ℝ terdiri dari 2 bilangan yaitu bilangan rasional dan irasional 111bilangan rasionalbentuk umum ℚ ӝ i i ℤ i 0ӝ 01 1 1012 dan lain lain dilambangkan ℚ kadang berupa bilangan bentuk pecahan bilangan desimal. Adapun fungsi rasional yang paling sederhana yakni fungsi y 1 x dan fungsi y 1 x ².
Contoh soal dan pembahasan integral tak tentu integral tentu kalkulus 2 contoh soal rumus integral kalkulus integral tak tentu tertentu pengertian substitusi parsial penggunaan pembahasan fungsi aljabar luas volume benda putar matematika. 4 2 2 0 x x dx 2 1 1 0 2 du u u misalx 2u. Dalam mendalami materi logaritma, cara yang paling efektif agar mudah hafal sifat sifat logaritma. Identitas trigonometri setelah sebelumnya contohsoalcoid telah membahas materi tentang contoh soal aljabar dan rumusnya. Fungsi f x 2x 9x 12x naik untuk nilai x yang memenuhi.
Contoh Soal Aplikasi Turunan Diferensial Dan Jawaban Pembahasan from soalkimia.com H h h 3 0 42 4 2 lim o c. Contoh soal dan jawaban aljabar kalkulus. Penyelesaiannya sama dengan fungsi pada limit aljabar. Rumus integral tak tentu beserta contoh dan penyelesaiannya. Nurhasanah anna mclight fisika matematika fungsi gamma contoh soal dan penyelesaiannya. Contoh soal dan pembahasan tentang integral widi thursday 23 february 2017 bicara soal integral pasti dipikiran kalian materi ini susah banget. Contoh soal integral fungsi aljabar dan penyelesaiannya. Contoh soal dan pembahasan tentang penerapan turunan dalam kehidupan sehari hari.
Contoh soal beserta jawaban integral fungsi rasional.
50 soal dan jawaban integral parsial. Calculus, artinya batu kecil, untuk menghitung) adalah cabang ilmu matematika yang mencakup limit, turunan, integral, dan deret tak terhingga. Contoh soal integral fungsi aljabar dan penyelesaiannya. Kedua jenis utama adalah kalkulus diferensial dan kalkulus integral. 11himpunan bilangan realℝ bilangan real ℝ terdiri dari 2 bilangan yaitu bilangan rasional dan irasional 111bilangan rasionalbentuk umum ℚ ӝ i i ℤ i 0ӝ 01 1 1012 dan lain lain dilambangkan ℚ kadang berupa bilangan bentuk pecahan bilangan desimal. Contoh soal integral lipat dua dan penyelesaiannya. Rumus integral dan tabel integral kalkulus contoh soal dan jawaban kalkulus matematika pendidikan Adapun fungsi rasional yang paling sederhana yakni fungsi y 1 x dan fungsi y 1 x ². Contoh soal kalkulus dan jawabannya soal nomor 1 tuliskan definisi fungsi bernilai vektor di bidang dengan peubah real. 8 definisi turunan parsial dan pengerjaannya secara geometri. Rumus integral tak tentu beserta contoh dan penyelesaiannya. Pada soal ini diketahui a = 5 dan n = 0 maka hasil integralnya sebagai berikut: Contoh soal dan pembahasan integral bentuk eksponen kalkulus.
Berbagi
Posting Komentar
untuk "Contoh Soal Kalkulus Fungsi Dan Penyelesaiannya - M201 Kalkulus Aplikasi Turunan Part B Contoh Soal Optimasi Titik Ekstrim Youtube - Kumpulan contoh soal berbagai mata pelajaran seperti matematika, ipa, ips, biologi dan lainya, sebagai latihan mengerjakan soal agar dapat hasil yang memuaskan saat ujian."
Posting Komentar untuk "Contoh Soal Kalkulus Fungsi Dan Penyelesaiannya - M201 Kalkulus Aplikasi Turunan Part B Contoh Soal Optimasi Titik Ekstrim Youtube - Kumpulan contoh soal berbagai mata pelajaran seperti matematika, ipa, ips, biologi dan lainya, sebagai latihan mengerjakan soal agar dapat hasil yang memuaskan saat ujian."